Skip to main content

It seems that the tax office collects so much personal information about the people

A 20-year-old man who was arrested was released in a case in which 5 million people's personal information was hacked from the Bulgarian national tax agency

Good morning. You should do work that you are not interested in as soon as possible. If you postpone it, other work will be hindered.

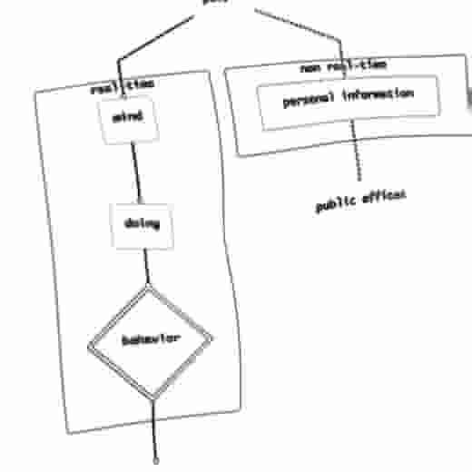
Can we use personal information to communicate with people’s minds?1

A 20-year-old man who was arrested was released in a case in which 5 million people’s personal information was hacked from the Bulgarian national tax agency.2

According to an expert’s point of view, the data of the government office has two characteristics.3

non real-time
real-time
personal information
mind
doing
behavior
people
public offices
future business

Even if it is a list of the whole nation, the value of using simple data is low unless it contains information on individual behavior.


  1. Well, when we call people, we call names. If you want to meet a person, head to the place where the person will be. Of course, you can talk to the person over the phone. All of them are actions that use personal information. Name, address, phone number. They are not updated often. You can talk to your best friend with the phone number you received 10 years ago.
    So, can we use personal information to communicate with people’s minds? People’s feelings are different yesterday and today. The other’s mind changes every second. Such real-time information is not included in personal information. If you don’t face each other and don’t feel the other person, neither joy nor sadness will be shared.
    How to Talk to Your Customers - Help Scout
    Effective Communication - HelpGuide.org
    The Best Way to Reach Out to a Prospect For the First Time, ↩︎

  2. Since Bulgaria has a population of 7 million, the list of almost all people has been reproduced. It seems that the tax office collects so much personal information about the people.
    5 Million Bulgarians Have Their Personal Data Stolen in Hack - The
    Man Accused Of Hacking Bulgaria’s Tax Agency Is Released
    White hat (computer security) - Wikipedia ↩︎

  3. First, the data to be handled is not updated frequently. Because it is a list of names, addresses, tax ID numbers, etc. In addition, it is very simple. So it’s easy to use secondary.
    Another feature is that the system is vulnerable. It seems that security management has not been strengthened. Of course, some agencies are highly confidential and others are departments like the tax office. However, in general, it may be said that the security awareness of public offices is low.
    But I think, is personal information so important? What do you use for lists of names, addresses, and phone numbers? Do you print out one by one and send direct mail to all people?
    What is the owner of the personal information doing now? What do people choose now? What do people want in the future? Isn’t this kind of current data more necessary for future business?
    Of course, there are data on consumer behavior. POS accumulates “personal behavior” data, not personal information.
    At least, what value is the list of public offices now in a society where AI and virtual currency prevail? Even if it is a list of the whole nation, the value of using simple data is low unless it contains information on individual behavior.
    3 Dos and Don’ts If You’re Considering Direct Mail Marketing
    Big Data Gets Personal - Data Science Association
    ↩︎

We do not want to do work that is not of interest. I feel heavy. But don’t mix your mood and your body. Move! If it moves, chores will be finished. I am doing so. Today’s post is over. Thank you

Comments